Бодлого 12.078
Хамгийн бага эерэг шийдийг ол.

тэгшитгэлийн хамгийн бага эерэг шийдийг ол.

Бодолт

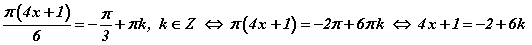
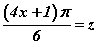
Тэгшитгэлийг бодохын өмнө сайн ажиглан харж бай. Сурагчид иймэрхүү дүрстэй тэгшитгэл харахаараа тангенсийн аргументыг хувирган энгийн хэлбэрт оруулах гээд ихээхэн цаг алддаг. Гэтэл тангенсийн аргументэд хураангуйлагдах зүйл огт байхгүй. Зүгээр л гэж үзвэл тэгшитгэл гэсэн энгийн тэгшитгэлд шилжинэ. Тэгшитгэлээс гэж гарна. Орлуулгыг буцаан тавивал гээд π - гүй шийд гарч байгааг анхаарна уу. Эндээс гэж гарах бөгөөд k=1 үед хамгийн бага эерэг шийд x=0,75 гэж гарна.

Хариу

0,75

Мэдээлэл таалагдсан бол найзуудтайгаа хуваалцаарай.

тэгшитгэлийг бодоход гэсэн хариу гарсан бол a, b, c -г ол.

Нээгдсэн тоо : 1245

тэгшитгэлийн завсар дахь шийдийг ол.

Нээгдсэн тоо : 875

тэгшитгэлийн системийг бод.

Нээгдсэн тоо : 907

тэгшитгэлийг бод.

Нээгдсэн тоо : 1375

Үйл явдал /event/ тодорхой үйлдэл хийгдсэн талаар системд мэдэгддэг. Хэрвээ бид энэхүү үйлдлийг ажиглах хэрэгтэй бол яг энд…

Нээгдсэн тоо : 167

 

Манай төсөл олон хуудсуудтай болон тэдгээрийн хооронд динамикаар шилжилт хийж байгаа ч тухайн үед шилжилт хийгдсэн хуудаст тохирох…

Нээгдсэн тоо : 243

 

Зочин (Visitor) паттерн классуудыг өөрчлөхгүйгээр тэдгээрийн обьектуудын үйлдлийг тодорхойлох боломжийг олгоно. Зочин хэвийг ашиглахдаа классуудын хоёр ангилалыг тодорхойлно.…

Нээгдсэн тоо : 207

 

Лямбда-илэрхийлэл нь нэргүй аргын хураангуй бичилтийг илэрхийлнэ. Лямбда-илэрхийлэл утга буцаадаг, буцаасан утгыг өөр аргын…

Нээгдсэн тоо : 320

 

Кодийн сайжруулалт /рефакторинг/ хичээлээр програмийн кодоо react -ийн зарчимд нийцүүлэн компонентод салгасан.…

Нээгдсэн тоо : 350

 

Хадгалагч (Memento) хэв обьектын дотоод төлвийг түүний гадна гаргаж дараа нь хайрцаглалтын зарчмыг зөрчихгүйгээр обьектыг сэргээх боломжийг олгодог.

Нээгдсэн тоо : 357

 

Делегаттай нэргүй арга нягт холбоотой. Нэргүй аргуудыг делегатийн хувийг үүсгэхэд ашигладаг.
Нэргүй аргуудын тодорхойлолт delegate түлхүүр үгээр…

Нээгдсэн тоо : 437

 

Математикт харилцан урвуу тоонууд гэж бий. Ямар нэгэн тооны урвуу тоог олохдоо тухайн тоог сөрөг нэг зэрэг дэвшүүлээд…

Нээгдсэн тоо : 453

 

Төсөлд react-router-dom санг оруулан чиглүүлэгчдийг бүртгүүлэн тохируулсан Санг суулган тохируулах хичээлээр бид хуудас…

Нээгдсэн тоо : 514

 
Энэ долоо хоногт

тэгшитгэлийг бод

Нээгдсэн тоо : 1502

 

4 хүнийг нэг эгнээнд хичнээн янзаар жагсах боломжтой вэ?

Нээгдсэн тоо : 1454

 

тэгшитгэлийн хамгийн бага эерэг шийдийг ол.

Нээгдсэн тоо : 574