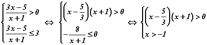
тэнцэл бишийг бод.
Материалыг тусгай эрхтэй хэрэглэгч үзнэ.
Мэдээлэл таалагдсан бол найзуудтайгаа хуваалцаарай.
тэнцэтгэл бишийн системийг бод.
Жич: Тэнцэтгэл биш үзэж эхлэж байгаа сурагчдад хэрэгтэй бодлого. Эхлээд их энгийн тэнцэтгэл бишүүдийг бодон тэнцэтгэл бишийн бодолтын утгыг зөв ойлгох нь чухал.
тэнцэтгэл бишийн системийг хангах x -ийн бүхэл утгуудыг ол.
тэнцэтгэл биш хэдэн бүхэл тоон шийдтэй вэ?
тэнцэтгэл бишийг бод.
Үйл явдал /event/ тодорхой үйлдэл хийгдсэн талаар системд мэдэгддэг. Хэрвээ бид энэхүү үйлдлийг ажиглах хэрэгтэй бол яг энд…
Нээгдсэн тоо : 215
Манай төсөл олон хуудсуудтай болон тэдгээрийн хооронд динамикаар шилжилт хийж байгаа ч тухайн үед шилжилт хийгдсэн хуудаст тохирох…
Нээгдсэн тоо : 297
Зочин (Visitor) паттерн классуудыг өөрчлөхгүйгээр тэдгээрийн обьектуудын үйлдлийг тодорхойлох боломжийг олгоно. Зочин хэвийг ашиглахдаа классуудын хоёр ангилалыг тодорхойлно.…
Нээгдсэн тоо : 254
Лямбда-илэрхийлэл нь нэргүй аргын хураангуй бичилтийг илэрхийлнэ. Лямбда-илэрхийлэл утга буцаадаг, буцаасан утгыг өөр аргын…
Нээгдсэн тоо : 356
Кодийн сайжруулалт /рефакторинг/ хичээлээр програмийн кодоо react -ийн зарчимд нийцүүлэн компонентод салгасан.…
Нээгдсэн тоо : 404
Хадгалагч (Memento) хэв обьектын дотоод төлвийг түүний гадна гаргаж дараа нь хайрцаглалтын зарчмыг зөрчихгүйгээр обьектыг сэргээх боломжийг олгодог.
Нээгдсэн тоо : 427
Делегаттай нэргүй арга нягт холбоотой. Нэргүй аргуудыг делегатийн хувийг үүсгэхэд ашигладаг. Нэргүй аргуудын тодорхойлолт delegate түлхүүр үгээр…
Нээгдсэн тоо : 490
Математикт харилцан урвуу тоонууд гэж бий. Ямар нэгэн тооны урвуу тоог олохдоо тухайн тоог сөрөг нэг зэрэг дэвшүүлээд…
Нээгдсэн тоо : 564
Төсөлд react-router-dom санг оруулан чиглүүлэгчдийг бүртгүүлэн тохируулсан Санг суулган тохируулах хичээлээр бид хуудас…
Нээгдсэн тоо : 592
Хувь гэдэг нь нэгийг 100 хуваасны 1 хэсэг. 1%=0.01 Хувиар бодогдох бодлогыг үндсэнд нь 3 тєрєлд хувааж болно.
Нээгдсэн тоо : 48070
Элсэлтийн ерөнхий шалгалт өгөхөөр бэлтгэж байгаа төгсөгчдөд зориулан дараах зөвлөмжийг орууллаа. ЭЕШ бол улирлын болон анги дэвших жирийн…
Нээгдсэн тоо : 44912
Энэхүү хичээлээр бид квадрат тэгшитгэлтэй холбогдолтой шийдийг олох томьёо, Виетийн терем, квадрат гурван гишүүнтийг үржвэрт задлах талаар авч…
Нээгдсэн тоо : 44701
Тэмдэглэгээ:
V - эзэлхүүн ; S - суурийн талбай ; - хажуу гадаргуун талбай; P -…
Нээгдсэн тоо : 42682
Геометрийг ойлгоход өнцөг ойлголт ихээхэн чухал. Бодлогын нөхцөлд өнцгүүдийн төрлүүд их орж ирдэг тул тэдгээрийг нэр, хэлбэр, шинжээр…
Нээгдсэн тоо : 36098
Гаргалтын томьёоЭдгээр томьёог
Нээгдсэн тоо : 35591
Уламжлал, дифференциалчлах дүрмүүд, давхар функцыг дифференциалчлах томьёонууд
Нээгдсэн тоо : 33636
Энэ хичээлээр шүргэгч тэгшитгэлийг олох бодлогуудын талаар авч үзэцгээе. Ямар нэгэн функцийн график татсан шүргэгч шулууны тэгшитгэлийг олох,…
Нээгдсэн тоо : 29083
Хаалттай тахир шугаман дүрсүүд периметр, талбайтай байдаг. Гурвалжин ч хаалттай тахир шугамаар үүсдэг дүрс тул хичээлээр гурвалжны периметр, талбайн талаар…
Нээгдсэн тоо : 28564
Өдрийн хуваарьт 5 хичээл ордог. Тэгвэл 11 хичээлээс зохиож болох хуваарийн хувилбарын тоог ол. Нэг хичээл өдөрт нэг удаа л орно.
Нээгдсэн тоо : 1941
y=8x3 ба y=8x функцуудын графикаар хязгаарлагдсан дүрсийн талбайг ол.
Нээгдсэн тоо : 1056
тэгшитгэлийн язгуурууд x1 , x2 , x3 бол
Нээгдсэн тоо : 687