Материалыг тусгай эрхтэй хэрэглэгч үзнэ.
Мэдээлэл таалагдсан бол найзуудтайгаа хуваалцаарай.
Арифметик прогрессын нийлбэр нь дурын n хувьд томьёогоор илэрхийлэгддэг бол энэ прогрессын эхний гурван гишүүнийг ол.
|q|<1 ногдвортой төгсгөлгүй буурах геометрийн прогрессийн нийлбэр 16. Харин энэ прогрессийн гишүүдийн квадратуудын нийлбэр 153,6 бол прогрессийн ногдвор болон 4 -р гишүүний нийлбэр хэд вэ?
2.0(15) үет бутархайг энгийн бутархай болго.
Арифметик прогрессийн a2=1; a5=5,5 бол S10=?
Үйл явдал /event/ тодорхой үйлдэл хийгдсэн талаар системд мэдэгддэг. Хэрвээ бид энэхүү үйлдлийг ажиглах хэрэгтэй бол яг энд…
Нээгдсэн тоо : 400
Манай төсөл олон хуудсуудтай болон тэдгээрийн хооронд динамикаар шилжилт хийж байгаа ч тухайн үед шилжилт хийгдсэн хуудаст тохирох…
Нээгдсэн тоо : 496
Зочин (Visitor) паттерн классуудыг өөрчлөхгүйгээр тэдгээрийн обьектуудын үйлдлийг тодорхойлох боломжийг олгоно. Зочин хэвийг ашиглахдаа классуудын хоёр ангилалыг тодорхойлно.…
Нээгдсэн тоо : 473
Лямбда-илэрхийлэл нь нэргүй аргын хураангуй бичилтийг илэрхийлнэ. Лямбда-илэрхийлэл утга буцаадаг, буцаасан утгыг өөр аргын…
Нээгдсэн тоо : 549
Кодийн сайжруулалт /рефакторинг/ хичээлээр програмийн кодоо react -ийн зарчимд нийцүүлэн компонентод салгасан.…
Нээгдсэн тоо : 610
Хадгалагч (Memento) хэв обьектын дотоод төлвийг түүний гадна гаргаж дараа нь хайрцаглалтын зарчмыг зөрчихгүйгээр обьектыг сэргээх боломжийг олгодог.
Нээгдсэн тоо : 606
Делегаттай нэргүй арга нягт холбоотой. Нэргүй аргуудыг делегатийн хувийг үүсгэхэд ашигладаг. Нэргүй аргуудын тодорхойлолт delegate түлхүүр үгээр…
Нээгдсэн тоо : 759
Математикт харилцан урвуу тоонууд гэж бий. Ямар нэгэн тооны урвуу тоог олохдоо тухайн тоог сөрөг нэг зэрэг дэвшүүлээд…
Нээгдсэн тоо : 921
Төсөлд react-router-dom санг оруулан чиглүүлэгчдийг бүртгүүлэн тохируулсан Санг суулган тохируулах хичээлээр бид хуудас…
Нээгдсэн тоо : 897
Хувь гэдэг нь нэгийг 100 хуваасны 1 хэсэг. 1%=0.01 Хувиар бодогдох бодлогыг үндсэнд нь 3 тєрєлд хувааж болно.
Нээгдсэн тоо : 49447
Элсэлтийн ерөнхий шалгалт өгөхөөр бэлтгэж байгаа төгсөгчдөд зориулан дараах зөвлөмжийг орууллаа. ЭЕШ бол улирлын болон анги дэвших жирийн…
Нээгдсэн тоо : 45620
Энэхүү хичээлээр бид квадрат тэгшитгэлтэй холбогдолтой шийдийг олох томьёо, Виетийн терем, квадрат гурван гишүүнтийг үржвэрт задлах талаар авч…
Нээгдсэн тоо : 45310
Тэмдэглэгээ:
V - эзэлхүүн ; S - суурийн талбай ; - хажуу гадаргуун талбай; P -…
Нээгдсэн тоо : 43290
Геометрийг ойлгоход өнцөг ойлголт ихээхэн чухал. Бодлогын нөхцөлд өнцгүүдийн төрлүүд их орж ирдэг тул тэдгээрийг нэр, хэлбэр, шинжээр…
Нээгдсэн тоо : 38635
Гаргалтын томьёоЭдгээр томьёог
Нээгдсэн тоо : 36663
Уламжлал, дифференциалчлах дүрмүүд, давхар функцыг дифференциалчлах томьёонууд
Нээгдсэн тоо : 34068
Хаалттай тахир шугаман дүрсүүд периметр, талбайтай байдаг. Гурвалжин ч хаалттай тахир шугамаар үүсдэг дүрс тул хичээлээр гурвалжны периметр, талбайн талаар…
Нээгдсэн тоо : 29838
Энэ хичээлээр шүргэгч тэгшитгэлийг олох бодлогуудын талаар авч үзэцгээе. Ямар нэгэн функцийн график татсан шүргэгч шулууны тэгшитгэлийг олох,…
Нээгдсэн тоо : 29688
олон гишүүнтийн язгуурууд x1, x2, x3 (x1<x2<x3) бол1. 2. x1, x2, x3 арифметик прогрес үүсгэх бол 3. Уул прогрессын ялгавар 4.
Нээгдсэн тоо : 1358
sin90 -ийг олно уу.
Жич: Хатуу самар даа. Сурагчид барна гэхэд хүнд болов уу. ЕБС-ийн хүрээний аргаар л бодолтыг хийж байгаа тул бодолтыг харвал гайгүй ч юм шиг санагдаж магадгүй гоё бодлого.
Нээгдсэн тоо : 600
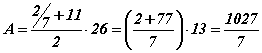
тэгшитгэлийг бод.
Жич: Бодох арга орж ирж байна уу. Найз нөхөд, багштайгаа хамжаад үзээрэй. Иймэрхүү бодлогууд сэтгэлгээг хөгжүүлэх, арга техникт суралцахад тустай.
Нээгдсэн тоо : 827