Бодлого 8.119
Ажлын байранд хичнээн аргаар авч болох вэ?

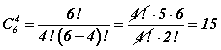
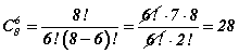
Үйлдвэр нэг мэргэжлээр 4 эмэгтэй, өөр нэгэн мэргэжлээр 6 эрэгтэй, гуравдахь мэргэжлээр 3 ажилтанг хүйс хамаарахгүй ажил олгох боломжтой. Үйлдвэрт ажилд орохоор 6 эмэгтэй, 8 эрэгтэй хандсан бол тэдгээрийг ажлын байранд хичнээн аргаар авч болох вэ?

Бодолт

Ажлын байр 13 харин ажилд горилогч 14 байгаа. Эхлээд эхний мэргэжлийн ажилтан буюу 6 эмэгтэйгээс 4 -ийг сонгох боломжийг n элементээс m ээр зохиосон хэсэглэлийн тооны томьёогоор олвол байна. Дараагийн ажилд эрэгтэйчүүдээс дээрхийн адилаар 6 -г сонговол болно. Ажил горилогчоос 2 эрэгтэй, 2 эмэгтэй үлдсэн бөгөөд хүйс харгалзахгүй сонгох 3 ажлын байр байгаа. Энэ бол бас л 4 -өөс 3 -аар зохиосон хэсэглэл тул байна. Одоо нийт боломжийн тоог олвол гэж гарна. Нэг хувибартай бусад боломжуудын аль ч хувилбар байж болох тул нийт боломжийг үржүүлэн олоно гэдгийг ойлгоорой.

Хариу

1680

Мэдээлэл таалагдсан бол найзуудтайгаа хуваалцаарай.

Шалгалт 60 асуулттай. Бат тэдгээрийн 3 -ыг нь мэдэхгүй бол түүнд шалгалт дээр мэддэг асуулт ирэх магадлалыг ол.

Нээгдсэн тоо : 547

задрагааны x агуулаагүй гишүүнийг ол.

Нээгдсэн тоо : 824

"Сургалт" гэдэг үгнээс 2 үсэг дарахад хоёулаа гийгүүлэгч үсэг байх магадлалыг олоорой.

Нээгдсэн тоо : 1499

Талууд нь (9, 11, 12, 15, 18) - олонлогоос утгаа авах

  1. Элдэв талт гурвалжин ширхэг
  2. Зөв биш адил хажуут гурвалжин ширхэг
  3. Талууд нь дээрх олонлогоос утгаа авах гурвалжнуудаас санамсаргүйгээр нэг гурвалжин авахад зөв гурвалжин байх магадлал нь байна.

Нээгдсэн тоо : 1537

Үйл явдал /event/ тодорхой үйлдэл хийгдсэн талаар системд мэдэгддэг. Хэрвээ бид энэхүү үйлдлийг ажиглах хэрэгтэй бол яг энд…

Нээгдсэн тоо : 129

 

Манай төсөл олон хуудсуудтай болон тэдгээрийн хооронд динамикаар шилжилт хийж байгаа ч тухайн үед шилжилт хийгдсэн хуудаст тохирох…

Нээгдсэн тоо : 191

 

Зочин (Visitor) паттерн классуудыг өөрчлөхгүйгээр тэдгээрийн обьектуудын үйлдлийг тодорхойлох боломжийг олгоно. Зочин хэвийг ашиглахдаа классуудын хоёр ангилалыг тодорхойлно.…

Нээгдсэн тоо : 158

 

Лямбда-илэрхийлэл нь нэргүй аргын хураангуй бичилтийг илэрхийлнэ. Лямбда-илэрхийлэл утга буцаадаг, буцаасан утгыг өөр аргын…

Нээгдсэн тоо : 285

 

Кодийн сайжруулалт /рефакторинг/ хичээлээр програмийн кодоо react -ийн зарчимд нийцүүлэн компонентод салгасан.…

Нээгдсэн тоо : 315

 

Хадгалагч (Memento) хэв обьектын дотоод төлвийг түүний гадна гаргаж дараа нь хайрцаглалтын зарчмыг зөрчихгүйгээр обьектыг сэргээх боломжийг олгодог.

Нээгдсэн тоо : 320

 

Делегаттай нэргүй арга нягт холбоотой. Нэргүй аргуудыг делегатийн хувийг үүсгэхэд ашигладаг.
Нэргүй аргуудын тодорхойлолт delegate түлхүүр үгээр…

Нээгдсэн тоо : 386

 

Математикт харилцан урвуу тоонууд гэж бий. Ямар нэгэн тооны урвуу тоог олохдоо тухайн тоог сөрөг нэг зэрэг дэвшүүлээд…

Нээгдсэн тоо : 387

 

Төсөлд react-router-dom санг оруулан чиглүүлэгчдийг бүртгүүлэн тохируулсан Санг суулган тохируулах хичээлээр бид хуудас…

Нээгдсэн тоо : 463

 
Энэ долоо хоногт

тэнцэтгэл бишийг бод.

Нээгдсэн тоо : 1443

 

Үйлдвэр нэг мэргэжлээр 4 эмэгтэй, өөр нэгэн мэргэжлээр 6 эрэгтэй, гуравдахь мэргэжлээр 3 ажилтанг хүйс хамаарахгүй ажил олгох боломжтой. Үйлдвэрт ажилд орохоор 6 эмэгтэй, 8 эрэгтэй хандсан бол тэдгээрийг ажлын байранд хичнээн аргаар авч болох вэ?

Нээгдсэн тоо : 891

 

тооц.

Нээгдсэн тоо : 382